Mitoz bölünme,
– Bir hücrelilerde üremeyi ve çoğalmayı sağlar.
– Çok hücrelilerde büyümeyi, gelişmeyi, yenilenmeyi (rejenerasyonu) ve onarımı sağlar.
– Çok hücreli bazı canlılarda eşeysiz üremeye neden olur.
– Ana hücrenin aynısı iki yavru hücre oluşur. Bu iki hücre kalıtsal olarak tamamen aynı yapıdır.
– Kromozom sayısı sabit kalır.
– Oluşan hücrelerin kromozom sayıları ve organel çeşitleri aynıdır. Fakat sitoplazma miktarı ve organel sayıları (hücre büyüklüğü) farklı olabilir.
– Zigot oluşumu ile başlar ve ölünceye kadar devam eder.
– Çizgili kas hücreleri, olgun alyuvar hücreleri, sinir hücreleri bölünme yeteneğini kaybeder.
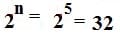
*** Mitoz bölünme sonucu oluşan hücre sayısını bulmak için 2 üzeri n formülü kullanılır.
Örnek: 46 kromozomlu bir hücre art arda 5 mitoz bölünme geçiriyor. Bu hücrenin bölünmesi sonucu kaç hücre oluşur?

















